Langkau ke kandungan utama

Flow Measurements



Hello everyone ! I am going to explain about flow measurement experiment. By the way , my name is Pavaani A/P Thevathas ( 13DEM19F1043 ) . Im studying at Politeknik Sultan Mizan Zainal Abidin from class DEM2S1. My lecturer name is Mr. Roshaizul Nizam Bin Sani who handed this task.

On 21 Jan 2020 , we did an experiment based on flow measurements.

Apparatus


  • SOLTEQ Flowmeter Measuring Apparatus
  • Hydraulic bench
  • Stop watch
  • Screw driver or pen

Experimental Procedures
  1. Fully close the control valve and fully open the discharge valve.
  2. Ensure the discharge hose properly directed to sump tank. Also ensure the collection tank drain hole is open to allow flow discharge back into sump tank.
  3. Fill sump tank with 3/4 full of water.
  4. Start up the pump supply.
  5. Slowly, open the control valve until its approximately half open.
  6. At this point, water flowing from sump tank to the flow apparatus and discharge through into collection tank.
  7. Wait until there is no trapped bubble in the system.
  8. Adjust the discharge and control valve until rotameter reach desire reading.
  9. By using the air bleed screw ( staddle valve ) , adjust water level in the manometer board ( using screwdriver or pen ). Retain maximum readings on manometers with the maximum measurable flow rate.
  10. Note readings on manometers (A and C).
  11. Close the collection tank drain hole.
  12. Look at volume gauge. Start the stopwatch until volume gauge reach 5L and stop the stopwatch until the volume reach 10L.Note the stopwatch reading.
  13. Open collection tank drain hole.
  14. Step 8-13 repeat for other 3 readings.


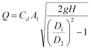
During this experiment , we divided into 5 groups to do the experiment given by the lecturer. We followed the steps given above. We took the readings that we got. Finally we finished the experiment successfully.  This experiment was not so difficult for us. Once we finished the experiment , we calculated the Venturi Meter Flowrate by using formula given below :


Image result for flow rate through venturi formula
                                           


Thats all from me for this discussion. Bye ! 

From, 
Pavaani Thevathas
DEM2S1
13DEM19F1043







Ulasan

Catatan popular daripada blog ini

SUPERHEATED STEAM

Assalamualaikum warahmatullahi wabarakatu kepada semua Rakan-Rakanku dan Pensyarah-Pensyarah yang dirahmati Allah sekalian.                Saya wakil pelajar dari  POLITEKNIK SULTAN MIZAN ZAINAL ABIDIN(PSMZA) dari kelas DEM2S1 yang bernama KHAIRUL DANISHAHMI BIN KHAIRULNIZAM a.k.a Keyoo dan saya adalah pelajar semestar 2 sesi Dis 2019 dalam bidang Diploma Kejuruteraan Mekatronik(DEM).Saya telah diberikan tugasan untuk membuat rumusan yang bertajuk SUPERHEATED STEAM pada minggu ini.So gais,korang mesti tak pernah dengar apa itu Superheated Steam kan?Meh sini saye ceritakan sikit.          Okay,Superheated Steam adalah suatu bentuk stim pada suhu yang lebih tinggi dari titik mendidihnya.Ia adalah keadaan yang relatif kepada sesuatu yang dipanggil tepu atau basah dan wap.Wap jenis ini adalah yang hanya melebihi titik didih sumber pada tekanan tertentu.          Untuk memahami bagaimana ai...

EXPERIMENT BETWEEN PRESSURE AND DEPTH

Assalamualaikum , my name is Muhammad Firdaus Iqbal Bin Mohd Farik (13DEM19F1059) and today I will write about the experiment that we have carried out during our last lectures period for this subject before the corona virus (read : Covid-19) spreads throughout the country which is the experiment regarding the relationship between pressure and depth.           The relationship between pressure and depth are something usual and very related to our daily basis life . Indeed they are very common but not everyone noticed the idea of pressure and depth and where can we apply this idea in our life. There are a few examples regarding the idea of the experiment which is :-  water damp water tank  water container   If you guys wonder why all the examples listed are all about water , it is because water is in the form of liquid and only liquid will be affected by preassure and depth as a whole. I will explain further regarding this issue using ...

EKSPERIMEN 1: SIFAT FIZIKAL CECAIR

Assalammualaikum w.b.t.      Saya MUHAMMAD AMIRUL AKMAL sebagai wakil pelajar dari kelas DEM2S1  di POLITEKNIK SULTAN MIZAN ZAINAL ABIDIN (PSMZA) akan menceritakan tentang Termofluid. T ERMOFLUID  merupakan subjek yang kerap digunapakai di dalam teknologi kejuruteraan dan sains di bagi menyelesaikan beberapa permasalahan. Bendalir mekanik juga bersifat rumit dan kadang-kala ia hanya boleh diselesaikan dengan kiraan dan formula tertentu berdasarkan prinsip bendalir mekanik, terutamanya dengan menggunakan kaedah dinamik bendalir berkomputeran (computational fluid dynamics). Kaedah ini dapat menyelesaikan masalah bendalir dengan kaedah menerusi pemvisualan dan menganalisa aliran bendalir. Pada 10.12.19 yang lalu,telah diberikan satu tugasan iaitu eksperimen tentang sifat fizikal bendalir. Alatan yang digunakan: 1) Penimbang Skala Digital 2) Bikar 3) Minyak Masak 4) Minyak Enjin Prosedur: 1) Tekan suis ON pada penimbang skala digital 2) Letakkan...